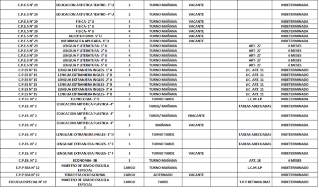
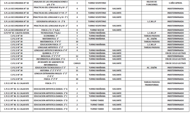
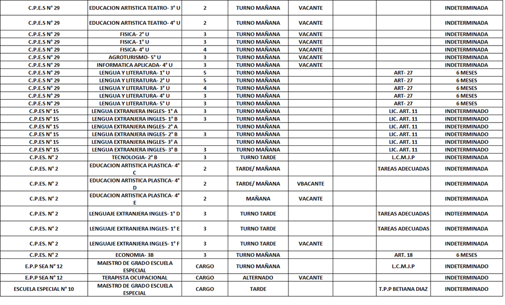
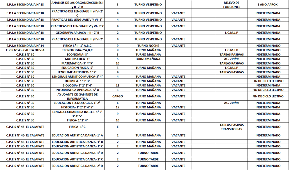
26/03/2026 | El Consejo Provincial de Educación, a través de las Comisiones de Ofrecimientos, informa que se encuentran disponibles los listados para acceder a los cargos y horas cátedra en establecimientos de diferentes localidades. Los mismos se realizarán de manera presencial.
PARA ACCEDER A DICHOS CARGOS ES INDISPENSABLE ESTAR INSCRIPTO EN LA JUNTA DE CLASIFICACIÓN CORRESPONDIENTE.
Deben notificarse en las Comisiones de Ofrecimientos de cada Dirección Regional, de lunes a viernes, de 09:00 a 17:00, o en las escuelas de cabecera que le informa la regional.









